On August 4, 2015, in a game against the Red Sox in the Bronx, Yankees manager Joe Girardi made a move so unorthodox that MLB.com devoted an entire article to the incident. After starter Masahiro Tanaka allowed a leadoff homer in the top of the seventh, shrinking the Yankees’ lead to 4-3, Girardi called for lefty reliever Justin Wilson. That wasn’t the weird move. Wilson struck out Mike Napoli, allowed a Rusney Castillo single, got Blake Swihart to foul out, and went up 1-2 on Jackie Bradley Jr. This was the weird move: With Wilson one strike away from escaping the inning, Girardi trudged to the mound, took the ball from the surprised southpaw, and summoned righty reliever Dellin Betances.
“I think it’s odd just because it was in the middle of the at-bat,” Wilson said after the game. When asked to explain his motivation, the manager said only one word: “Strategy.”
What was Girardi’s strategy? Four years later, the former manager couldn’t be reached for comment, so his inscrutable statement stands. According to a member of the Yankees front office, though, his reasoning was more obvious than that secretive response suggested.
On Wilson’s 0-2 pitch to Bradley, Castillo had stolen second. That put the tying run on second and raised the stakes of the situation, inflating the leverage index from important (1.61) to crucial (2.28). Suddenly, preventing a single mattered more, and Betances, who had allowed a .138 batting average since the start of 2014, was baseball’s least hittable pitcher. Wilson was good, but even without the platoon advantage, Betances was better. (Betances actually owns a career reverse split.) Girardi’s mysterious “strategy” was, well … putting his best pitcher on the mound. Doesn’t sound so exciting, does it? The execution was slightly unconventional—most managers would have let Wilson finish the plate appearance—but the thinking wasn’t.
But what if there had been a bold, truly original strategy that Girardi could have called on to make the same move? And what if it’s one that major league managers may be about to embrace?
Consider this: Even more so than the typical pitcher, Betances is far more effective with two strikes than he is in non-two-strike counts. In fact, Betances is one of the best two-strike pitchers of all time, boasting the biggest gap in recorded history between his performance in two-strike and non-two-strike counts (minimum 500 batters faced with two strikes). In the pitch-tracking era (2008 to 2019), Betances’s wOBA allowed (.449) in non-two-strike counts has been one of the worst in the game, well above the .402 league average. But in two-strike counts, his wOBA allowed (.139, compared to the .237 MLB average) has been the best—better than Craig Kimbrel’s, better than Kenley Jansen’s, better than Aroldis Chapman’s. Betances isn’t good at getting ahead, but when he does get two strikes on hitters, his knuckle-curve renders them helpless.
Wilson’s splits aren’t so extreme: He’s been worse than Betances with two strikes, but better than Betances before he gets to two strikes. So why not use him to get Bradley in a hole, then bring in the two-strike specialist to finish him off? It’s the baseball equivalent of basketball’s alley-oop: The first pitcher puts up the alley, and the second supplies the oop. You’ve heard of the opener; this is the oopener.
The criticism never had any form of logic behind it. It was always, ‘That’s not baseball.’ Well, what the hell does that mean?John Cohen, Mississippi State athletic director
Those two-strike splits are just the start of why this move might make sense. Imagine the shock of going from facing a 6-foot-2 lefty who throws cutters and sliders to a harder-throwing, 6-foot-8 righty who throws knuckle-curves, during a single plate appearance. Now imagine it with two strikes, when the hitter doesn’t have the luxury of taking a pitch to time the pitcher’s speed and assess his stuff, delivery, and release point. Sounds pretty impossible, right? Even under normal circumstances, hitting tends to be an exercise in failure. Give the pitcher the element of surprise by making a mid-plate-appearance pitching change, and hitting becomes downright torturous. It’s a radical idea, but there’s reason to think it would work.
So why don’t we see that strategy? As it turns out, we do. Just not in Major League Baseball—for now. But the low-profile practitioners of the mid-PA pitching change are convinced it would work even there. And as some members of that brotherhood trickle into pro ball, this one weird trick to retire hitters is probably poised to make its big league debut.
John Cohen, the athletic director at Mississippi State, coached college baseball for a quarter-century, including stints as head coach at Northwestern State, Kentucky, and Mississippi State, where he took the Bulldogs to a College World Series final in 2013. Before he became a coach, he played two seasons as a light-hitting outfielder in the Minnesota Twins system. And before the Twins took him in the 22nd round of the 1990 draft, he played college ball for Mississippi State under former head coach Ron Polk. Polk had his teams practice by playing intrasquad games, some of which were called “count games.” In count games, hitters would start with advanced counts: 1-2, 3-1, whatever. The primary purpose was to pick up the pace.
“The other thing it did was put tremendous pressure on you,” Cohen recalls, continuing, “the amount of pressure there is on a hitter walking to a plate, facing a new pitcher with a 1-2 count, to me was extraordinary. So I always thought to myself, ‘Why not try and put hitters in that situation in a real game?’”
As far as Cohen knew, no one had ever tried it. Eventually, though, he got up the nerve to act on the idea. In the ideal scenario he envisioned, he says, “you’re bringing a guy out of the bullpen who is a breaking ball guy, a real hard slider guy, or a really good curveball guy, especially if you have a 1-2 count or 0-2 count, even if you have a 2-2 count. And you say to your pitcher, ‘Hey, listen, I want you to throw your best breaking ball here two or three times in a row, and I want to get a swing-and-miss.’ Especially if the game’s hanging in the balance.”
Cohen can’t remember the first time he tried it, but he knows it was during his stint as head coach at Kentucky from 2004 to 2008. Once he started, he didn’t stop. In one season at Kentucky, he says, he did it 24 times in 65 to 70 games. “The only reason I remember that is in those at-bats, it was an extraordinary number, a high level of success, of getting that hitter out,” Cohen says. “And a high number of strikeouts in those situations. … It really was kind of a gut thing with me early on, and then the numbers really helped me do it more often.” Cohen’s confidence in the strategy increased further in 2011, when the NCAA’s new bat specifications inaugurated a low-scoring, dead bat era. With runs at a premium, stopping opponents from adding to their tally was essential, even if it meant being subject to scorn. The pioneer of the mid-PA pitching change was willing to weather the barbs.
“If it was a televised game, there was criticism,” Cohen says. “There was always criticism of doing it. The funny thing is, the criticism never had any form of logic behind it. It was always, ‘That’s not baseball.’ Well, what the hell does that mean? The old-timers always go into, ‘That’s not real baseball.’ What is ‘real baseball’? What does that mean? Those are the things that have always bothered me.”
Cohen decries the tradition and etiquette that compels baseball players and teams to act against their own interests. “Name another sport where the skill set isn’t allowed to be used, no matter what the score is,” he says. A football team up by 30 points isn’t expected to stop kicking field goals. A basketball team up by 20 points isn’t expected to stop shooting 3s. But a baseball team up by six or seven runs is supposed to stop stealing. And at no point is a baseball team expected to do something as ungentlemanly as pulling a pitcher when the hitter is counting on taking all of his hacks in a plate appearance against the same guy.
Cohen feels gratified that during his time in baseball, MLB teams have grown much more numbers-driven and less bound by precedent. For him, the mid-PA pitching change relies on the same logic as the now-conventional strategy of bringing in relievers (between batters) rather than sticking with the starter. “If you’re going to run a mile against me, and I can have four guys run one lap, and your guy’s going to run four laps, I feel like I’m going to beat you in that race every single time,” he says. “So if my guy gets to 50 pitches or whatever, and he doesn’t have a put-away pitch, and I’ve got a relay race partner in the bullpen who can come in and throw an absolute hammer, even if he just gives me 10, 12 pitches … then my relay’s going to beat your marathon guy.”
Since Cohen broke the seal, the strategy has spread to new branches on the Cohen coaching tree. Multiple former members of his coaching staffs have carried on the new tradition, including Auburn head coach Butch Thompson and Kentucky head coach Nick Mingione.
Mingione summons a memory of a game at Mississippi State in which the opposing team loaded the bases with one out, bringing up a speedy hitter who’d be tough to double up. “I remember [Cohen] asking the question, ‘What does the game demand right now?’ And the answer was a strikeout. So he said, ‘Well, then we gotta get the guy in the game that can strike this guy out.’ And I remember getting the hitter to two strikes. The guy on the mound was not a guy that was notorious for striking guys out. So we made the pitching change with two strikes and we ended up striking the guy out.” The lesson stuck with Mingione, and he made the move part of his repertoire.
Other coaches have developed the idea independently. In 2009, D.J. Whittemore, the head coach of Western Nevada, used the tactic twice against Howard College in the JUCO World Series in Grand Junction. “If there’s any little thing you can do that improves your chances of winning even by half a percent or a percent, then that’s something I want to do,” says Whittemore, now the pitching coach at Cal State Bakersfield. “A lot of times where you get in trouble is coaches don’t want to put themselves in positions where it’s easy to second-guess them. … Coaches tend to make safe decisions.”
Like Whittemore, NC State’s longtime head coach, Elliott Avent, wasn’t aware of Cohen’s groundbreaking bullpen management when he started using the tactic himself a few years ago. In addition to the two-strike scenario, Avent often pulls a pitcher who’s on his last batter anyway after he’s fallen behind in the count. Sometimes, a reliever isn’t ready to start an at-bat, but by the time the tiring preceding pitcher has thrown a ball or three, his successor has finished his warm-ups, and Avent will wave him in early, hoping that the new look will hurt the hitter. “It’s worked out so many times where the guy that comes in gets the hitter,” Avent says. “I’ve brought him in 3-0 before and … the guy hits a ground ball or pops up 3-1 or he gets to 3-2 and strikes him out or pops him up.” Avent says he’s haunted by certain times when he didn’t make a mid-PA change and the pitcher he stuck with failed to finish off the hitter.
Dan Heefner, head coach of Dallas Baptist, says he joined the cult of the mid-PA pitching performance almost by accident. Heefner planned to rest his All-American closer, Brandon Koch, in a game against Illinois State, but DBU’s lead shrank fast, so he asked Koch to start throwing. The righty wasn’t quite ready for the hitter Heefner wanted him to face, but he was warm when the count got to 1-2, and Heefner didn’t waste any time bringing him in. Once he saw how overmatched the hitter looked, he realized the tactic’s potential. “That’s the most uncomfortable thing you could do,” Heefner says. “It’s mid at-bat, you’ve got two strikes on you, and now this guy is coming in who’s got this wipeout breaking ball and also throws 95—it’s completely unfair.”
If there’s any little thing you can do that improves your chances of winning even by half a percent or a percent, then that’s something I want to do.D.J. Whittemore, Cal State Bakersfield pitching coach
Heefner, like Cohen, is a former pro hitter, so he also understands the mental effect of the waiting period while the new pitcher enters, which he likens to calling a timeout to faze a field goal kicker. Although knowing a breaking ball could be coming seems like it should be an advantage, telling a hitter who’s already antsy because of the count not to chase may only get in his head. “Not only did you totally change the game plan in the middle of the at-bat,” Heefner says, “but it has an icing effect where mid-at-bat, guys are in scoring position, and now we’ve called time, and he’s got to go over and watch this guy throw eight warm-ups while the coach is there with a scouting report, telling him that he’s going to throw this slider to him, and it’s just impossible and they have no shot.”
Duke, Arkansas, and other high-profile programs have gotten in on the act, which raises an obvious question: How often is this actually occurring across all colleges?
That turns out to be a peskier question to answer than one would think. NCAA play-by-play data rarely, if ever, accurately records instances of the mid-PA pitching change; instead, pitches thrown within the same plate appearance by the second pitcher are also attributed to the first, making examples of the tactic impossible to identify. Data provided by TrackMan doesn’t cover all of DI, but it’s the best we can do. The company’s query turns up 911 examples of mid-PA pitching changes in 5,145 tracked games dating back to 2013—a rate of roughly 0.2 per game, or once every five games. However, only 114 of those 911 came in two-strike counts. The leaders in two-strike-count cases: Mississippi State and Kentucky, at nine and eight, respectively.
There’s no clear increase in the rate in recent seasons, although it’s difficult to make comparisons because the composition of the sample changes each year. From 2013 to 2015, TrackMan systems were installed in fewer than 10 parks per season, gradually ramping up to 54 in 2019. It’s also possible that teams open-minded enough to install a ball-tracking system would be more likely to employ the pitcher-pulling plan, which could skew the sample. Those 911 results must include many cases in which a pitcher was pulled because of injury or fatigue, not for strategic reasons. And because the accuracy of this data also relies on stringers at each school to correctly enter information about pitching changes, it’s almost certain that some entries are false positives, whereas other legitimate cases are absent because they were mislabeled. In other words, we know this is happening, but it’s impossible to pinpoint precisely how often.
Shaky as our intel is, we can say with some confidence that college coaches are making mid-PA changes much more often than major league managers, who seem to do it only out of necessity or, rarely, for the Girardi reason. The same TrackMan method unearths 94 MLB cases from 2015 to 2019—roughly a tenth of the college count, in many more games. Because of a coding quirk, Retrosheet records contain only 25 identifiable examples from 2015 to 2018, while a search of the Pitch Info database at Baseball Prospectus, relying on differences in release point rather than human input on who was pitching, flags 148 from 2015 to 2019. Not only do these methods disagree with each other, but each of them is missing confirmed cases. Our usual data sources simply aren’t set up to record when the mid-PA pitching change occurs; it’s as unexpected for stringers and statisticians as it is for opposing players.
Because the MLB samples are so small and unreliable, we can’t conclude much by studying the results in cases where mid-PA pitching changes have actually occurred. And even if the samples were larger, they probably wouldn’t be representative of the results in the kind of case we’re talking about. A reliever who has to warm up from scratch to replace an injured pitcher, or who’s otherwise summoned sooner than expected, probably won’t be as well prepared to take advantage of the situation as one who’s trained for the job and knows exactly what he’s being brought in to do. In the Girardi episode, for instance, Betances wasn’t warned in advance that he’d enter with two strikes. (He walked the hitter he inherited, but struck out the next one to preserve the slim lead.)
Although the aforementioned college coaches wouldn’t do this if they didn’t think it worked, even they have a hard time proving it. The samples are small, and when pitchers are up in the count, they’re usually going to get the guy out, with or without the element of surprise. The coaches’ conviction could be confirmation bias, as Chris Gordon, assistant to Duke’s head coach, acknowledges. “It feels like it worked a lot, but I couldn’t tell you for sure that it did. … When you’re talking about eight to 10 times [per season], it’s hard to really say that this is a great way to do it.”
Despite the lack of MLB precedents, though, we do have data that suggests this should work.
In The Science of Hitting, Ted Williams stressed the importance of seeing pitches, arguing that a long first plate appearance could pay dividends for the rest of the game. “The more you make him pitch, the more information you get,” Williams wrote. He was right. Not only do hitters gain ground each time they face the same pitcher within the same game—thanks more to familiarity than to pitcher fatigue—but their degree of improvement depends on how many pitches they see. One Baseball Prospectus study showed that hitters who saw four or more pitches in their first plate appearance improved 2.5 times more in their next plate appearance than hitters who saw three pitches or fewer.
Granted, hitters may glean insights into opposing pitchers between plate appearances, via tips from teammates or coaches or their own observations from the dugout or on-deck circle. But much of their ability to pick up pitches better as the game goes on must stem from the time they spend in the batter’s box. It stands to reason, then, that a hitter would be better equipped to deal with a pitcher toward the end of a plate appearance than he is at the beginning.
“The more our hitters can sit there and see pitch after pitch after pitch after pitch and get in rhythm and get in time and just understand the shape, the break, the movement pattern of each pitch, the more I believe it favors the hitter,” Mingione says.
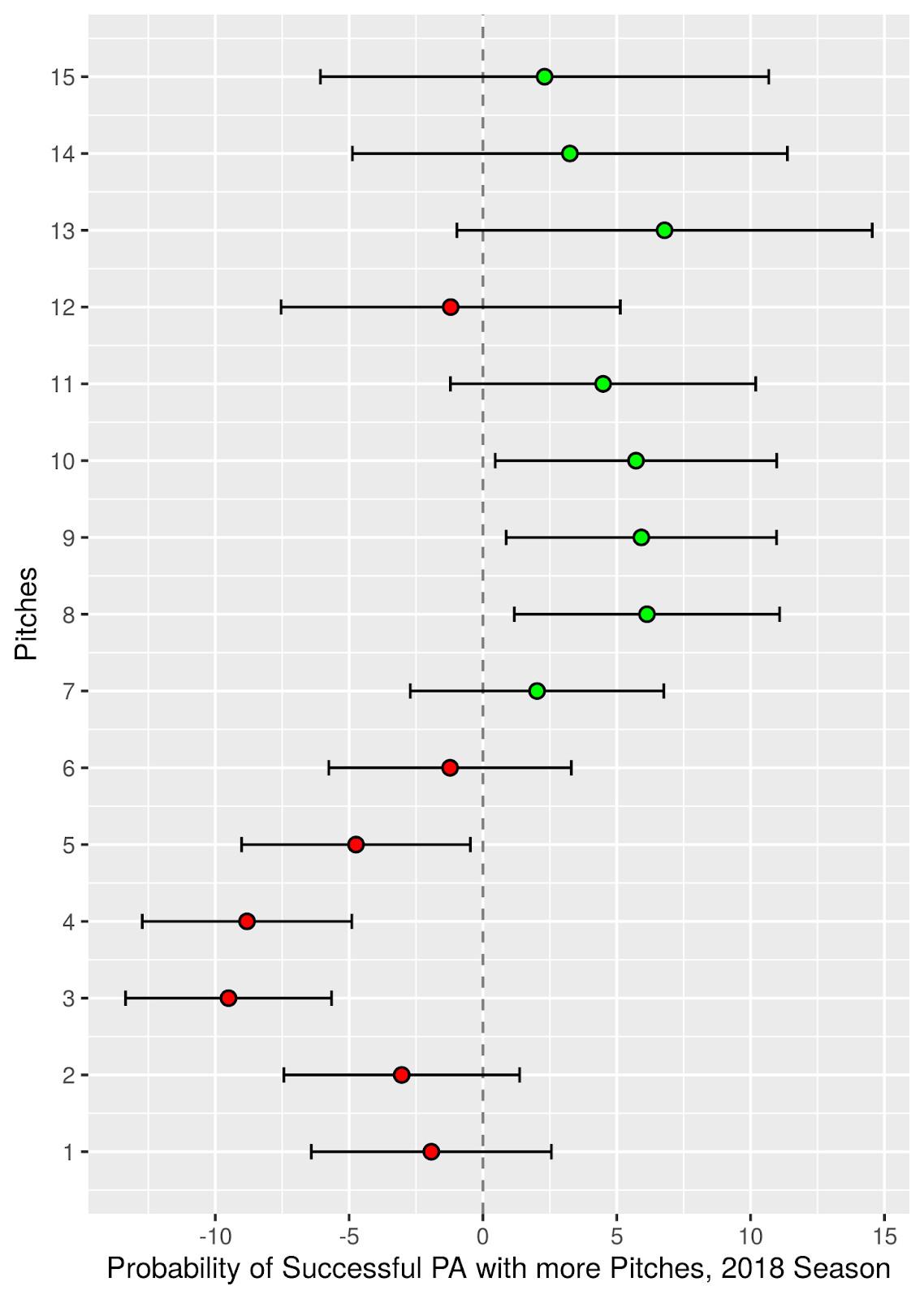
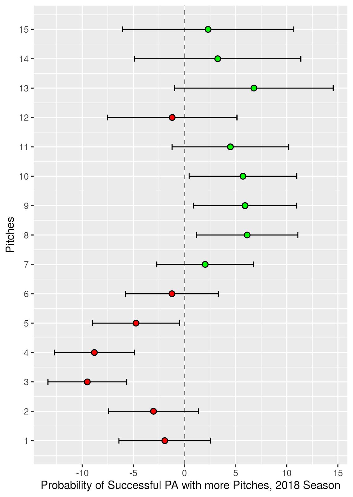
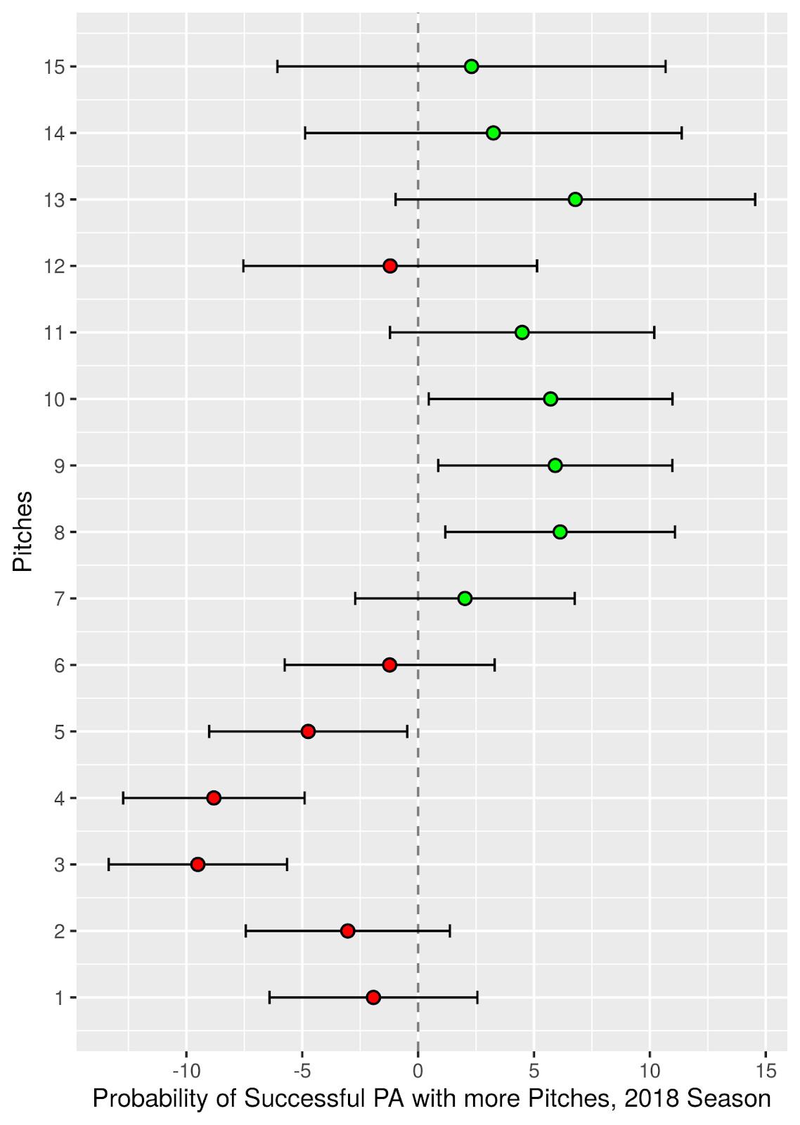
We don’t have to take that on faith. The image below, provided by Baseball Prospectus analyst Jonathan Judge, displays the 2018 probability of a batter’s plate appearance ending in success—a non-out instead of an out—on each successive pitch, controlling for the identities of the batter and pitcher. As the predominantly above-average outcomes past the six-pitch mark confirm, long plate appearances tend to favor the hitter.

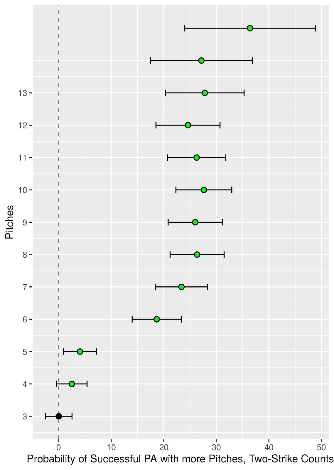
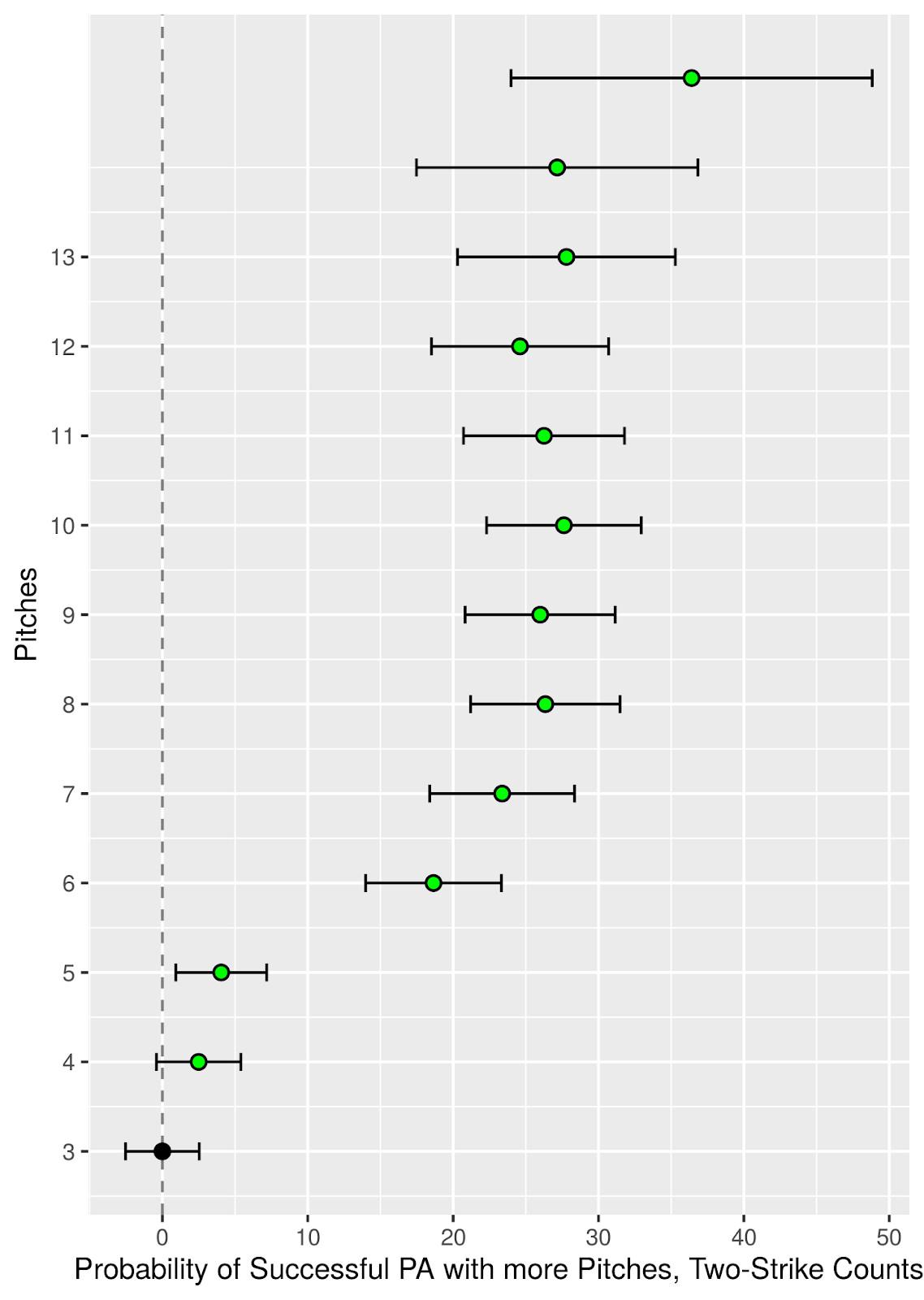
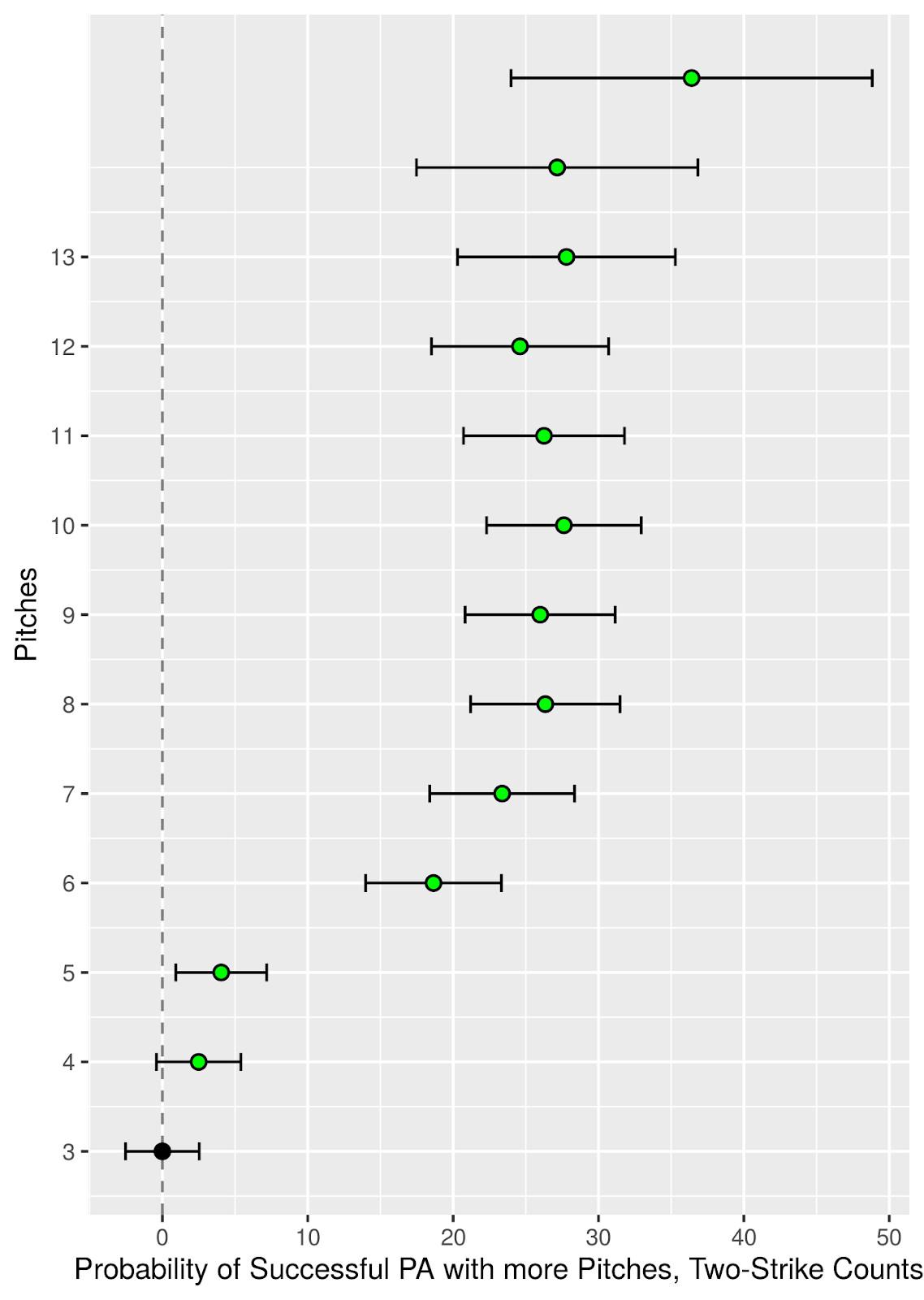
Another image from Judge demonstrates the intra-PA familiarity effect even more clearly. This one displays the 2017-19 difference in hitter success rate on each successive pitch on the same two-strike count, lumping together 0-2, 1-2, 2-2, and 3-2 counts and again controlling for the identities of the hitter and pitcher. In other words, this is what happens as hitters keep fouling off pitches and the count stays the same: As previous research has shown, their outcomes improve, presumably because they’re gaining knowledge with each offering.

Sabermetrician Mitchel Lichtman, coauthor of sabermetric field guide The Book: Playing the Percentages in Baseball and times-through-the-order-penalty proselytizer, says, “Based on research I’ve read and my intuition and knowledge of the game, I would guess that the pitcher has the advantage when coming in mid-PA for the reasons you cite. … If I were forced to guess, I might say 10-20 points in wOBA, since that seems to be on the order of what we see from [the] times-through-the-order, pinch-hit, and DH penalties.”
For more evidence, we can study how hitters behave. Hitters tend to take the first pitch more often against pitchers they haven’t seen before in the game, which suggests that no matter how much they might study video or watch from the dugout or on-deck circle, they still feel more comfortable after seeing a pitcher from the batter’s box. This season, the leaguewide swing rate on first pitches when the batter is in his second or greater time through the order and the pitcher is also in his second or greater time through the order—that is, when the two have already clashed in the game—is 33.8 percent. But the leaguewide swing rate on first pitches when the batter is in his second or greater time through the order and the pitcher is in his first time through the order—when the hitter has already batted in the game, but against a different pitcher—is only 29.5 percent. The difference is even more pronounced on first pitches in the strike zone: 49.7 percent vs. 43.3 percent.
If a team makes a mid-PA pitching change when the hitter is already behind in the count, he can’t take comfort in knowing he can watch the first pitch. That disrupts his regular routine and could throw off the rest of the plate appearance. “It would definitely be difficult to see a new guy when you already have two strikes,” says former major league hitter Nate Freiman. “It’s much better when you are used to the timing/release.”
One final form of data is the testimony of the players who’ve been on both sides of the strategy.
“It’s incredibly advantageous on the pitcher’s side,” says former Arkansas pitcher Jake Reindl, who’s currently in the Cubs system. Reindl’s pitching coach, Wes Johnson—who’d previously coached for DBU and Mississippi State and now fills that role for the Twins—would radio down to the pen as the pitcher warmed up to tell him precisely how to prepare. “The pitcher has time to practice the exact pitch and location coming into the game,” Reindl continues. “Every time I came in I didn’t feel like the hitter had a chance because I just finished ripping off eight picture-perfect low-and-away sliders and I had the feel for it.”
It’s mid at-bat, you’ve got two strikes on you, and now this guy is coming in who’s got this wipeout breaking ball and also throws 95—it’s completely unfair.Dan Heefner, Dallas Baptist head coach
“Mentally, I think it works in the pitcher’s advantage,” former DBU pitcher (and 2018 Mets major leaguer) Drew Smith agrees. “Just more to think about for the hitter and in my opinion makes them way more uncomfortable.” Current DBU reliever Kragen Kechely concurs: “It definitely can be effective when the previous arm and the arm coming in are very different. For example, if you have a high-spin guy and then you bring in a low-spin guy, or a lefty to a righty.” The Gamecocks’ John Gilreath adds: “The hitter has no clue what I’m throwing him, and he’s not starting with an 0-0 count. I know all I need to know on the hitter from the mound visit and scouting report, so I’m better off than he is.”
Batters begrudgingly agree. Former Campbell University infielder Tyler Anshaw remembers being the victim of a mid-PA pitching change. “The pitcher they brought in was throwing slower, and so I was way out in front,” he says. “That’s why it’s tough late, because you pretty much have to swing if it’s close.” Anshaw notes that on top of the “natural shock” of a new pitcher coming in, “you don’t know if there is going to be run or tail on a fastball or a sharper break on his off-speed.”
Louisville infielder Justin Lavey had it happen to him with two strikes this year and found himself struggling to regain his rhythm. “I think it’s a very useful strategy,” Lavey says. “Especially if a guy is seeing the ball well that at-bat off of the first guy, changing pitchers might throw off his timing and get him to lose that at-bat.” Current Twins minor leaguer and former Coastal Carolina hitter Jordan Gore confirms, “It’s always difficult to switch your thoughts mid-at-bat,” and Mets minor leaguer and former Louisiana State outfielder Antoine Duplantis echoes, “You have to battle without really knowing what the guy has.”
Case closed, right? Maybe. But there are a few downsides to the idea, particularly at the big league level.
One potential problem for the mid-PA pitching change: It poses a threat to pitchers’ self-esteem.
“From what I know, I don’t think the pitchers that I came in for liked it, because they felt it showed a lack of confidence in their stuff,” says Koch, the former DBU closer who’s now pitching for the Rays in High-A. “Like, I came to finish off hitters for two guys [Smith and Chance Adams] that have pitched in the big leagues. So I’m sure it was an ego thing too. But every time we did it, it worked, so there was not a whole lot of complaining after.”
Reindl, who says he always had more faith in himself to get a guy out than any other pitcher on the Arkansas staff, admits, “I was definitely much happier coming in than coming out. Pitchers are prideful, and when the coach is telegraphing to you that someone else’s stuff plays better in the situation than yours does, it can be a knock on your pride.” For that reason, he says, the system’s smooth functioning is “incredibly dependent on the guy getting pulled, the guy getting put in, overall team chemistry, and having a solid working player-coach relationship. I think it can work, but a lot can go wrong as well.”
Johnson, Reindl’s former coach, stresses the importance of prepping the players for the unorthodox deployment. “It’s about telling those guys, ‘We’re going to do this. There’s a point of it that you’re not going to like, you’re not going to understand, but just remember that we’re doing it for the betterment of the team. We’re not going to do it to punish you and to embarrass you.”
A little humor can help defuse the situation, too, as Heefner found whenever he replaced Adams with Koch. “Adams was like the setup guy, and he would get so ticked every time I would take him out,” Heefner says. “And then you’d just kinda joke with him. It’s like, ‘Hey, Brandon’s getting jealous and he wants to have some fun, too, so we’re gonna take you out and let him get a couple outs here.’ So I think it’s kind of the same as what you usually have to do with bullpen guys, just kinda work their brains a little bit.”
These soft factors don’t seem insuperable—not because they don’t matter, but because the same objections applied to the opener and to pulling starters earlier, and those obstacles have already been overcome. Koch, who plays for the organization most known for stretching baseball’s traditional roles to the breaking point, says guys would get over this too. “In the big leagues, every out matters, and managers are going to do everything they can that’ll help them win. Even if guys don’t like change, if it leads to more wins and less runs given up, I don’t think there will be much pushback. You’re obviously going to have your analysts who don’t agree with the move, because they don’t like change or the way the game is evolving.”
Beyond the cliff of hurt feelings lie the pits of opponent quality, roster size, and schedule. In college, Johnson says, you get a lot of “panic playing,” but in the majors, “you don’t run into hitters who just make panic swings.” If the shift can get into MLB hitters’ heads, though, so could the mid-PA pitching change.
Admittedly, college teams have 35-man rosters and play about four times per week, which gives them the freedom to burn through pitchers more quickly. That said, bringing in an arm a pitch or three earlier than planned isn’t going to gas him. It’s not as if teams could do this several times a game; MLB’s rules czars have already seen to that. Next year’s expansion of the one-batter minimum to a three-batter minimum, save for inning-ending appearances—which will limit teams’ tactical trickery by banning the Curly Ogden–Wade Miley maneuver and doing away with almost all instances of the Waxahachie swap—doesn’t endanger the mid-PA pitching change to the same degree, but it will make teams think carefully about when a quicker hook would be beneficial.
At times, making a mid-PA pitching change would fall under the heading of “getting too cute.” If the pitcher in the bullpen is a much better matchup for the batter, a manager might be better off bringing him in for the start of the plate appearance rather than saving him as a surprise. After all, the batter may do damage before the sleight-of-hand can take place. “I could see targeted situations where it might make some sense,” says one high-ranking AL executive. “Right now it’s used zero percent of the time. That’s probably too little. And that’s probably the psychological barrier, the newness barrier. But it’s likely something that should still be very rare.”
Every time I came in I didn’t feel like the hitter had a chance because I just finished ripping off eight picture-perfect low-and-away sliders.Jake Reindl, pitcher in the Chicago Cubs’ organization
Like a lot of “smart” team tactics, the mid-PA pitching change might not benefit fans, beyond the fun first few times. When the novelty of relievers going Unexpected Cena on hitters in high-leverage spots wears off, we’ll likely be left with even more strikeouts and more rallies snuffed out, although the rare embarrassing backfire would be something to savor. Mingione says he’s “confident this will make its way to the big leagues,” for better or worse. If high school strategies can reshape NFL offenses, it’s easy to imagine the mid-PA pitching change making the same college-to-MLB leap that Johnson just did.
Less than five years after Beyond the Box Score’s Bryan Grosnick blogged about the concept of the opener, the Rays adopted the idea. The mid-PA pitching change, which is only a slight evolutionary leap from the mid-inning pitching change, likely won’t need that long to break through in today’s everything-goes game. “It seems like the conventional wisdom is gone now and people are willing to do anything,” Heefner says.
Girardi’s pseudo strategy—which Red Sox skipper Alex Cora replicated in a game this June—may represent a slight crumbling of resistance, an incremental step toward the full flowering of the idea. “It was a tough one, trying to tell him, ‘Just hang in here with your crazy manager,’” Cora said about yanking Colten Brewer on a full count. But it wasn’t too tough to do.
Now our new tactic just needs a name. If the opener doesn’t do it for you, feel free to try out other options. The abracadabra? The peekaboo pitcher, first-impression pitcher, or surprise pitcher? The Mississippi sleight-of-hand? The bullpen baton-pass or bullpen bait-and-switch? The finishing move? The, um, pull-out method? Or, in a nod to the taciturn Girardi, the Strategy?
Whatever we call it, it’s coming.
“The more it catches on in college—it’s gonna happen,” the same AL executive says. “Eventually somebody’s going to do this. It’s like the four-minute mile. Some things that are harder to do aren’t as hard once you see someone do them.”
Thanks to Anthony Franco for calling my attention to Duke’s practice of pulling pitchers, and to Dan Hirsch of Baseball-Reference, Jonathan Judge and Lucas Apostoleris of Baseball Prospectus, and Geehoon Hong of TrackMan for research assistance.
