In the first inning of a game in Miami on September 28, 2013, Tigers starter Aníbal Sánchez retired Marlins leadoff hitter Chris Coghlan on a called strike three, notching Detroit’s 1,404th strikeout of the season. That record K surpassed the previous team high, attained by the 2003 Cubs. Tigers pitchers padded their record with 24 more regular-season strikeouts and finished the season with 8.8 Ks per nine innings, another new record. Sánchez, Max Scherzer, and Justin Verlander became the third trio of teammates to strike out at least 200 hitters apiece in the regular season, and the only trio to do it after the second deadball era in the late ’60s. They and their teammates went on to set records for the most strikeouts by a staff and a starting rotation in a postseason series before bowing out of the ALCS in six games.
It took 10 years for the Tigers to claim the Cubs’ record. It took one for the Rays and Indians to take it away. Another team topped it in 2015, followed by three more in 2016, eight in 2017, nine in 2018 and, soon enough, many more this year. Last year, four Cleveland pitchers topped 200 Ks. This season, the lowly Tigers are whiffing fewer hitters than they did six years ago. But the rest of the league has caught up to where they were then: In 2019, the average MLB pitcher is striking out 8.8 per nine. Even the Mets and the Pirates, owners of the third- and fourth-worst park-adjusted ERAs, are on track to out-K the 2013 Tigers.
“These guys are unbelievable,” Tigers closer José Valverde said in June 2013. “What they are doing right now is crazy.” A staff striking out nearly a batter per inning once was unbelievable. But in a span of time short enough that Sánchez, Scherzer, and Verlander are still strong starting pitchers, racking up Ks at a 2013 Tigers pace went from unprecedented to par for the course.
Baseball is always evolving, partly through random mutations—like a suddenly supercharged baseball, assuming MLB is being honest about not intentionally tampering with the pill—but largely through the same principle that governs evolution in other cutthroat environments: Traits that aid an organism’s survival tend to propagate and multiply. Right now, we’re witnessing several tactics that used to be relative rarities cross the threshold at which they’ve actually become more common than not for at least a team or two. And if those plans pay off, the clubs embracing them today may be the bellwethers that tell us where the game is going.
Below, we’ll explain why we’re seeing certain teams double down on these tactics; whether every other team is destined to be doing the same six or so years from now; and whether that would be good or bad for baseball.
The Rise of the Shift
What’s Happening: Teams are shifting their infielders more often than ever. We’ve been marveling at and, increasingly, fretting about the rise of the shift for almost a decade now. Yet we must marvel and/or fret anew every year, because save for a strange, temporary plateau from 2016-17, the annual rate has kept rising at roughly the same steep incline, as this graph based on Sports Info Solutions data demonstrates.

Baseball Savant allows us to assess the frequency of shifting on a per-pitch basis, based on Statcast tracking of fielder positioning. This data goes back only to 2015, but it backs up the SIS stats, showing a similar increase of roughly 160 percent relative to four years ago. Teams are now shifting on more than a quarter of all pitches thrown in the majors, and even right-handed hitters—who are harder to shift on than lefties because teams can’t flip first basemen to the other side of the infield—are facing a full shift more than 15 percent of the time.

More mind-blowing than that: The Astros, who’ve led the league in shift rate in every Statcast-covered season but have made another large leap this year—possibly because of changes to the coaches responsible for infield positioning—have become the first team to shift more often than not, shifting on 50.8 percent of pitches in 2019. The Dodgers are almost keeping pace at more than 49 percent, and the Orioles—now led by ex-Astros personnel—are above 47 percent. The Twins, at 42.5 percent, are the only other team above 40. At this point, infield shifts are just part of the scenery. Now teams are trying more exotic outfield shifts: Four-man outfields, sighted on just six pitches in 2017, have happened almost 600 times this season.
Will It Take Over: It’s always dangerous to extrapolate from recent trends; we’re less than two years removed from analytical articles about MLB being at “peak shift.” Yet history has taught us that when one trailblazer breaks new ground in positioning, the copycats will follow.
“In Houston, we certainly weren’t the first ones to shift, but we were the first ones to shift at the frequency that we were doing,” says Orioles vice president and assistant general manager Sig Mejdal, who worked in the Astros front office from 2012 to 2018. “And it’s well documented, there was quite a bit of pushback. And if you just looked at what the league average was the next year, it was similar to what we were doing with the pushback the year before, and that story repeated itself for a few years.”
Every time a team pushes into new shifting territory and still survives or thrives, shift detractors have less of a leg to stand on. Now that the first-place Astros have broken the 50 percent seal, with the first-place Dodgers barely behind them, it’s clear that the league isn’t close to its ceiling. The Astros’ innovations have made their personnel popular on the markets for field staff and executives, and Houston exports like Mejdal, Orioles GM Mike Elias, and Braves special assistant Mike Fast are spreading Astros-style thinking to other front offices. The Orioles, led by a new regime and coaching staff—and, perhaps, freed from pressure by an even worse winning percentage than the Astros managed at the nadir of their rebuild—have shifted roughly twice as often this year as they did in 2018.
“We’re in the division with the Yankees and the Rays, so that makes it easier also,” Mejdal says. “[Our players] see the opposition is doing this, so it’s not as foreign as it was in the Houston days, when nobody was doing it in arm’s distance of us.” Teams are shifting much more in the minors, too, so rookies come prepared for positioning that was considered radical until recently.
There are holdouts, however. Models differ from team to team, and their output is partly player-dependent, meaning that one team’s optimal positioning might be another team’s mistake. Front offices also vary in their willingness or ability to dictate terms to coaches.
The Angels, according to Baseball Savant, have shifted on only 12.9 percent of pitches this season, the lowest rate in the AL and the second-lowest in the majors. But Angels GM Billy Eppler says he isn’t concerned. “Our particular [group of] players points us to the alignments that we’ve been using,” Eppler explains, adding, “For the most part, our guys are positioned right alongside our model.”
Eppler says he’s met with some Angels infielders—specifically four-time Gold Glove shortstop Andrelton Simmons—and told them that they have “the latitude to move.” Simmons is trusted to position himself, provided he coordinates with the other infielders to ensure that they move in conjunction with him. The GM’s message to Simmons after the trade that brought him to Anaheim in late 2015 was, “You’re essentially our quarterback, and you can audible at the line of scrimmage, because you’re going to have more real-time information.” Eppler adds, “His baseball intelligence and baseball IQ is better than anything that we can put on paper that is more like a map. But he’s walking the map and can identify changes in the landscape, and as he identifies those, he can adjust.”
Simmons is a singular talent, but some other front offices would likely lay down the law even with an outlier like him, trusting the tracking stats over any individual’s intuition. “Unless we’re missing something, I expect the rest of baseball to be at this level sometime,” Mejdal says. “And we may be missing something. We may look back on this and after some realization we haven’t yet found, think, ‘Oh, we were doing it a bit much.’ But I wouldn’t bet on that.”
Should We Be Glad or Sad: For now, neither. For one thing, the shift’s impact is surprisingly tough to see on a league-wide level. If we dig deep, it’s there: The league-wide wOBA on grounders pulled by left-handed hitters—the type of batted ball most likely to fall prey to the shift—has fallen from .178 in 2008 to a new low of .157 this season. But grounders from lefties to the opposite field are sneaking through opened-up holes with greater regularity, and as a result, the league-wide wOBA on those balls has increased astronomically, from .305 in 2008 to a new high of .429 this year. Batters pull many more grounders than they hit the other way, but on the surface, this seems to even out; MLB’s batting average on balls in play has stayed stubbornly close to .300 over the past 20 years, even as shifts have proliferated.
I asked a few front-office people from frequently-shifting teams to explain this apparent paradox. To a person, they expressed confidence in their own shifting models and execution, but they threw up their hands when asked to explain why the overall league-wide BABIP hasn’t budged. (One of them literally sent me a shrug emoji.) As one team analyst speculated, “Maybe the immovable .300 mark is a consequence of small adjustments over time in how we’re selecting for offensive and defensive ability over the years.” It’s possible that teams are giving fewer plate appearances to players who are most susceptible to the shift, and league-wide BABIP might have climbed as hitters have gotten stronger if not for the shift keeping it in check.
As mysterious as that stable BABIP is, it’s unlikely that teams are wrong about the shift being worthwhile. As Mejdal says, “We have the most to lose if we’re wrong, and I think if you’re a good analyst you have a healthy amount of insecurity about the changes your work has led to. And so getting validation, double validation, is always something that’s on a good analyst’s mind.”
SIS estimates that the shift has collectively prevented 263 runs this season, on pace to top last year’s estimated total of 388. Most of the hits it steals are singles, which are historically scarce, and fewer singles means fewer base runners and more static, home-run-reliant offense. Even if the shift is working as designed, though, it’s not most batters’ biggest problem; that would be dealing with nastier pitches and putting the bat on the ball. Plus, while not every trend that goes up must come down, there’s a chance that this one could if hitters adapt by hitting the ball over the shift, bunting for base hits, or going the other way. All of those things are harder than they sound, but at least hitters have theoretical countermoves. Banning the shift would be an overreaction, even though we may be heading for a 50 percent future.
Bullpen Workloads
What’s Happening: Relievers are throwing more innings than ever. This is not a new trend—in fact, it’s about as old as they come—but it’s ramped up recently, with relievers stealing an additional 6 percent of all innings pitched since just 2015. Growing awareness of the times-through-the-order penalty has made managers more reluctant to let starters go deep into games, and the advent and ascendance of the opener has somewhat skewed the splits by blurring the distinction between starters and relievers. Going by the traditional definition, relievers have thrown nearly 41 percent of MLB innings this season.

Will It Take Over: Although the long-term trend is obviously up, we have seen some lengthy plateaus; relievers pitched a lower share of innings in 2014, for instance, than they had in 1995. Even so, it’s tough to envision this latest spike stopping or reversing itself soon.
Last year, the Rays pioneered the opener and became the first team to allocate more than 50 percent of their innings to “relievers,” checking in at 56.9 percent. This season, that’s subsided to 50.5 percent, but they’re no longer the lone team in the 50-and-up club. The Angels, who were close to last in shift rate, are at the other extreme here, drawing 51.9 percent of their innings from bullpen arms. A league-leading 52 of the Angels’ 97 starts this season have lasted less than five innings, and a league-leading 15 have ended after three or fewer outs. (Yes, the Angels have adopted openers, too.)
“We are going to continue to see that as an industry,” Eppler says, predicting that the lines between starters and relievers will grow hazier because “Teams are taking a step back and understanding the goal of the game is to get outs.” In this era, he adds, the main question teams are asking is, “Who’s going to be able to get outs, and how many outs do we believe this pitcher can contribute? … That’s why we’re seeing some openers, and that’s why we’re seeing some shorter outings.”
The Rays’ and Angels’ situations aren’t the same. If the season ended today, the Rays’ “starters”—counting openers—would boast the lowest collective park-adjusted ERA of any rotation in history, although it’s a stretch to liken the Rays rotation to rotations of the past. The Angels, by contrast, have the third-worst park-adjusted ERA of any team’s starters this year. Los Angeles has relied on relievers because ineffectiveness, injuries, and more recently, the tragic death of Tyler Skaggs have deprived Brad Ausmus of the type of pitcher who’s better than the bullpen alternatives the third time through the order. That said, most teams that aren’t in desperate starter straits still benefit from delegating more innings to relievers than they have in the past.
Even at the current rate of reliever inflation, it would take another nine years for relievers to reach workload parity. And it’s likely that the rate will slow, both because MLB will all but eliminate LOOGYs and restrict roster churn next season and because the performance gap between starters and relievers is shrinking as their job descriptions converge. This season, starters have slightly outperformed relievers on the whole. Some of that is attributable to the opener and to fringy fifth-starter types no longer taking the ball at the beginning of games, but it’s conceivable that asking relievers to pitch more innings as a group without allowing them to pitch more innings individually—and even restricting them from working on consecutive days—is taking a toll on the talent pool.
Should We Be Glad or Sad: Mostly sad. Not overtaxing starters is a sound strategy, and there’s some satisfaction in seeing teams deploy their players efficiently, but that satisfaction fades in the face of unintended consequences, including runaway strikeout rates. While some starters will always be skilled or durable enough to stay in—Trevor Bauer is almost single-handedly preserving the 120-pitch start—the diminution of the starter’s traditional role has robbed many games of their primary protagonist, replacing the pitching constant with a parade of more forgettable, fungible arms.
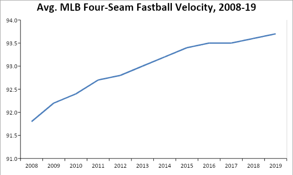
Faster Fastballs
What’s Happening: Partly thanks to that bullpen takeover, the average MLB four-seam fastball is up again—albeit slightly—to 93.7 mph.

With the overall average velocity homing in on 94 mph, 95—once a number that denoted rarified fastball air—is now a marker that most four-seamers on some teams exceed. In 2017, the Yankees became the first team on record to throw more than half of their four-seamers at least 95 mph. Last year, the Astros became the second. This year, the Astros are repeating, at 53.7 percent—but the Mets have raised the ceiling to 60.5 percent. And that’s with more than 400 four-seamers from Jason Vargas, who hasn’t topped 88.
This new normal requires recalibration of our internal fastball-speed scales. Fox baseball broadcasts still flash flames when a pitcher throws 95, even though those pitches aren’t nearly as rare as they were when the flames first appeared.
Will It Take Over: Unlike shifting and bullpenning, the average four-seamer speed’s upward climb has slowed significantly. We know, though, that pitchers have been steadily upping their radar readings since at least the early 1990s (and likely a lot longer), so it’s doubtful that they’ve hit a wall now. Whether anyone will be able to exceed Aroldis Chapman’s record of 105.8 is an open question—it’s stood for nearly nine years, and only Jordan Hicks, Mauricio Cabrera, Neftalí Feliz, and Tayron Guerrero have hit 104—but there’s no reason to think that more mid-90s throwers won’t eventually crowd out the few finesse types still succeeding on command and deception. It’s just going to take a while. But hey, it took 60 years for MLB batters to average one home run per game after the Murderers’ Row Yankees became the first team to do it (not counting the 1884 White Stockings and their ultra-shallow fences). And now they’ve done it in all but four of the past 26 seasons.
Should We Be Glad or Sad: Probably slightly sad. Now that 95 is commonplace, a pitcher has to touch triple digits to get our attention. It’s fun when a new speed monster like Hicks appears on the scene and tantalizes us with the prospect of a new all-time-high radar reading, but it’s less fun when he blows out his elbow. And while the Mets’ lack of success this season confirms that velocity isn’t everything, it’s still an awful lot. That’s particularly true now that teams have harnessed the power of high-spin fastballs, which are more effective up despite the age-old pitching dogma about living down in the zone: The percentage of above-average-spin four-seamers thrown in the upper third of the zone and up is also climbing at a rapid rate, with seven staffs passing the 50 percent point this season. If you lament the lack of contact in today’s game, higher-spin, faster fastballs aren’t your friend.
But Also, Fewer Fastballs
What’s Happening: Even though more pitchers are capable of bringing forth flames, the league-wide fastball rate—lumping together four-seamers, sinkers, and cutters—has sunk to 58.5 percent. Compared to 2008, the first year for which we have complete pitch-tracking data, we’re seeing about 7.5 fewer fastballs per 100 pitches.

This year, the Angels—there’s that team again—are angling to become the first team on record to fall below 50, even though they’ve shown average fastball velocity. At 47.7 percent fastball usage almost 60 percent of the way through the season, they’ve got a good shot. For at least one team in 2019, so-called “secondary” pitches have dethroned the fastball as the primary pitch.
Will It Take Over: According to Eppler, the Angels’ fastball abandonment isn’t an accident; it’s the product of an organizational emphasis intended to improve pitcher development. “One of the objectives that we present our pitchers with is to take what you do well and repeat it as often as possible,” Eppler says. “Another objective is to be able to throw any pitch in any count. … We’re trying to develop mastery, and so to do that we’re looking at a little bit more of a shared distribution of pitch selection.”
In the minors, that makes sense as a developmental strategy. In the majors, it makes sense considering what we’ve learned about the relative merits of particular pitches. Sliders (and other off-speed pitches) simply seem to outperform sinkers, on average, so it’s not surprising that they’ve traded places on the pitch-usage hierarchy. For ages, pitchers listened to cookie-cutter advice that backfired for those with good breaking balls: Establish your fastball. Now they’re updating their arsenals in an intelligent way.
“I think we’ll still continue to see fastballs continue to be the primary pitch, but I just don’t think it’s going to be to the level that it was 10 or 15 years ago,” Eppler says. He continues, “I think you’re going to see those numbers push a little bit closer to 50-50. Whether they get all the way there, I’m not so sure.”
Should We Be Glad or Sad: Toss-up. On the one hand, breaking balls are—with some exceptions—more entertaining to watch on TV, especially now that we’re blasé about radar readings. On the other hand, optimized pitch mixes mean more strikeouts. Your mileage may vary.
First-Pitch Swings
What’s Happening: Historically, hitters have liked to take a pitch to settle into their surroundings after stepping into the batter’s box, but they’re getting more aggressive on the first pitches of plate appearances. The graph below displays how hitters’ swing rates on pitches in the strike zone have changed on 0-0.

Admittedly, hitters are swinging more often at pitches in the zone on all counts collectively, because the juiced ball has made batted balls more valuable. But the swing rate on first pitches in the zone is up almost four times as much, on a percentage basis, as the swing rate on all other counts combined. And a few teams are threatening to cross 50 percent, with the Pirates leading the charge at 49.8 percent.
Will It Take Over: Swing rates, like stolen-base rates, are sensitive to the offensive environment: The calculus differs depending on the era. If the ball stops carrying, hitters will have less incentive to swing. But for now, it’s flying farther than ever before, and falling behind in the count is increasingly lethal, so hitters should swing while the getting is good. Those in search of a case study need look no further than the first-place Twins, who’ve gotten aggressive and upped their swing rate on first pitches in the zone from 36.0 percent (tied for last in 2018) to 48.5 percent in 2019 (fourth-highest). It’s worked pretty well.
Juiced ball or no, hitters have historically probably been too passive on certain counts when they could expect a strike. They’re not making that mistake now. The swing rate on pitches in the zone in the ultimate “take” count, 3-0, has almost doubled since 2009. Hitters have also caught on to the fact that the first pitch of the game is almost always a fastball, and usually one within reach. No longer can a pitcher count on starting his day against a hitter who’s taking all the way.
It’s not that there’s no such thing as a free strike anymore, but the gimmes are getting rarer.

Should We Be Glad or Sad: Glad! I knew we could end on something celebratory. Earlier swings should mean more offense and a little less waiting to see something happen, which John Irving and others will be happy to hear.
